Graph - Adjacency Matrix Representation
Next - Graph Adjacency List >>
In this page, we will learn about Adjacency Matrix Representation of graph.
Graph Representation
There are different ways to represent Graph - Adjacency Matrix Representation & Adjacency List Representation
Adjacency Matrix Representation
One simple way is to use adjacency matrix representation which uses a two-dimensional array. Adjacency matrix is a square matrix with each entry indicating whether a pair of vertices are adjacent to each another.
- If there is an edge between two vertices vi and vj, then we set A[vi][vj]=1.
- Otherwise we set the entry in the array to 0.

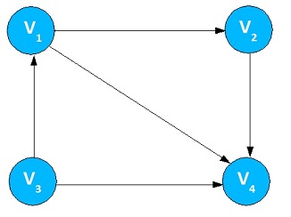
For the above graph, For adjacency matrix, put 1 in the table as shown below if Vi and Vj have edge in the graph else put 0.

Figure 4. Matrix Representation of Unweighted Graph Suppose, if the edge is associated with weight, then we can set A[vi][vj] equal to the weight. The memory space required for this adjacency matrix is O(|V|2).


Figure 5. Matrix Representation of Weighted Directed Graph For adjacency matrix, put the weightage in the table if Vi and Vj have edge with weightage, else put some constant C. Here we take the constant as ∞.The self ending edge weightage is 0. If the graph is dense, an adjacency matrix is suitable for graph representation.
Next - Graph Adjacency List >>